اشاره
«لاوسون» منتظر بود. درست از لحظهای که تماس برقرار میشد او هم بدون ذرهای تعلل کارش را شروع میکرد. مثل گلولهای که بعد از شلیک، فقط به نشستن در هدف میاندیشد. البته نه با همان شتاب! برعکس، او همیشه آهسته اما پیوسته میرفت و البته با اطمینان. هیچ میانهای هم با پنهانکاری نداشت و اصلاً اتفاق نیفتاده بود که قدمی را بدون باقی گذاشتن رد پا برداشته باشد. این بار هم مثل همیشه، از همان قدم اول به مسیرهای نفوذ مسلط شد و مرحلهبهمرحله در طول آنها پیشروی کرد. از این پس، دیگر هیچ چیز به رنگ سابق نبود!
مقدمه
از روزگارانی بسیار دور که نظرگاه ما آدمیان خاکی، زمینه شفاف آسمانی آبیرنگ بود و دمادم، با رنگهایی چشمنواز حاصل نورافشانی خورشید در میآمیخت؛ همان هنگام که چهره بکر کوه، دشت، جنگل و دریا زینتگر زیستگاه ما بود میل به زیبایی، در نهاد بشر مأوا گرفت و او را بر آن داشت تا با بهرهگیری از نعمتهای نهفته در طبیعت، به زیباییآفرینی دل سپارد؛ حسی نیرومند و انگیزهبخش که دشواریهای حیات را تحملپذیر کرد و پایههای پیدایش و رشد هنر را در عرصههای گوناگون امروزی بنیان نهاد.
رنگها از دیرباز، بهعنوان ملاکی در درک و تشخیص زیبایی، جایگاهی ویژه در دنیای هنر داشتهاند. به این ترتیب دور از انتظار نیست که بخش عمدهای از فعالیتهای بشری در عرصه آفرینش زیبایی، به تولید رنگها اختصاص یافته باشد. در آغاز این مسیر، طبیعت تنها تأمینکننده این منظور بود که با تکیه بر رنگدانههای گیاهی یا مواد معدنی سازنده خاکها و سنگها تلاشهای بشری را به نتایج رضایتبخش هدایت کردند. یکی از رنگهای قدیمی و پرکاربرد، رنگ حناست که از رنگدانهای در گیاه حنا بهدست میآید.
تاریخچه
استفاده از رنگ حنا بیش از پنج هزار سال در هند، پاکستان، آفریقا و خاورمیانه رواج داشته است. برخی از اسناد نیز زمانی در حدود ۹۰۰۰ سال پیش را نشانه میگیرند در حالی که، دستسازههایی مربوط به ۱۴۰۰ سال پیش از میلاد در کشورهای مدیترانهای یافت شده که با حنا رنگآمیزی شدهاند.
قدیمیترین این دستسازهها مربوط به محلی در شمال غربی سوریه است و قدمت آنها به ۲۱۰۰ سال پیش از میلاد میرسد. این رنگ در مصر باستان و دوره امپراطوری روم کاربردهای آرایشی داشته است؛ از رنگ کردن ناخن اجساد مومیایی شده گرفته، تا طراحی روی پوست، رنگ کردن مو و رنگآمیزی پارچههای ابریشمی، پشمی و حتی چرم.
استفادههای زینتی از حنا نهتنها نزد ثروتمندان، بلکه در میان مردمان کمدرآمد که از جواهرات گرانبها بیبهره بودند، رواج داشته است. در سرگذشت تاریخی کاربردهای گسترده حنا، همراهی خرافهها نکتهای قابل توجه است چنان که، در میان طرحهای سنتی برای طراحی روی بدن، نمادهایی مرموز دیده میشوند که در جلب موفقیت، قدرت باروری، صداقت و فداکاری و عشق مؤثر شمرده میشدند.
گیاه حنا
حنا درخت کوچک و گلداری است که در نواحی گرم با خاک خشک میروید. در دمای ۵۰°C رشد خوبی دارد و مقدار رنگ قابل استخراج در آن به حد بالایی میرسد اما در دمای پایینتر از ۱۰°C پژمرده میشود. نام این گیاه ریشه در واژه عربی «حِنا۱» دارد.
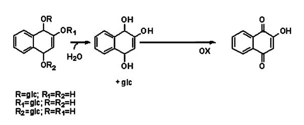
عامل رنگ طبیعی حنا رنگدانهای به رنگ قرمزـ نارنجی است که در برگهای گیاه حناست و از آن به لاوسون۲ یاد میشود. این ترکیب، به حنوتانیک اسید۳ نیز شهرت دارد و البته، نام علمی و آیوپاک آن که ۲ـ هیدروکسیـ ۱، ۴ـ نفتوکینون است، شکل ۱. مولکولهای لاوسون در برگها به حالت آزاد وجود ندارند بلکه در شرایط ملایم اسیدی و سپس اکسایش، از ترکیبی به نام حِنوسید۴ استخراج شوند شکل ۲.

شکل ۱. ساختار لاوسون؛ ۲- هیدروکسی-۴،۱- نفتوکینون

شکل ۲. فرآیند فعال شدن رنگدانه و آزاد شدن لاوسون
فرایند فعال شدن رنگ در حضور اسید در دمای اتاق، یک روز طول میکشد. خمیر بهدست آمده باید به مدت ۶ ساعت روی پوست قرار داده شود تا رنگ خود را نمایان کند. در این مدت مولکولهای لاوسون که اندازهای در حد مولکول آمینواسیدها دارند، به لایههای درونی پوست نفوذ میکنند و با پروتئین کراتین درگیر میشوند. حاصل این برهمکنش، اثری به رنگ قرمز است که در محل قرار دادن حنا روی پوست برجا میماند. از آنجا که لایه شاخی یا مرده پوستِ دست و پا، از بخشهای دیگر بدن ضخیمتر است، حنا روی این بخش پوست، رنگ تیرهتری به جا میگذارد.
حنای سیاه نوعی دیگر از حناست که بجز لاوسون، از عامل رنگزای دیگری به نام پارا فنیلن دیآمین (PPD) نیز برخوردار است. این جزء به حنا رنگ سیاه میدهد و از اجزای سازنده رنگ موهای دائمی به شمار میرود، شکل ۳.

شکل ۳. ساختار PPD فرایند فعال شدن رنگدانه و آزاد شدن لاوسون
بنابه گزارشها، مصرف PPD با ایجاد حساسیتهای شدید در بسیاری از افراد همراه بوده است. از این رو، استفاده از حنای سیاه توصیه نمیشود. گفتنی است که ۴۰ درصد این نوع حنا از PPD تشکیل شده است.
کاربردها
در میان قبایل صحراگرد استفاده از حنا برای کنترل دمای بدن و پایین آوردن آن، قرنها رواج داشته است. این اثر به طبیعت سرد حنا باز میگردد؛ قرار دادن دست و پا در خمیر بهدست آمده از خیساندن حنا، با احساس خنکی در سراسر بدن همراه است. گذاشتن خمیر حنا روی پوست در درمان انواع مشکلات پوستی مانند آفتابسوختگی، سردرد و درد معده سودمند شناخته شده بود. قرار دادن آن روی مو، باعث نرم، صاف و درخشندگی مو میشود و در جلوگیری از ریزش آن هم مؤثر است. خمیر بهدست آمده از پوست گیاه حنا، نیز بهطور موضعی برای درمان یرقان کاربرد داشت. همچنین خاصیت سمّی بودن حنا برای راندن حشرات در فرایند دباغی پوست و چرم مؤثر شناخته شده بود. روی همرفته، استفاده از حنا در درمان بیماریها، به شکل غیرخوراکی و غیرتنفسی آن و تنها بهصورت موضعی رواج داشته است.
از آنجا که رنگ حنا تا مدتی روی پوست باقی میماند، رفتهرفته ایده استفاده از آن در کارهای تزئینی و آرایشی نیز قوت گرفت و به عرصه رنگآمیزی انواع پارچه، طراحی روی بدن و رنگ کردن دستسازهها وارد شد. امروزه این رنگ طبیعی که از دورانهای باستان کاربرد داشته است، در نتیجه سازگاری با طبیعت و واکنشناپذیری نسبی، هنوز هم کاربردهای خود را حفظ کرده است و در صنایع گوناگون بهویژه نساجی و مواد آرایشی مورد توجه قرار دارد.
پایان سخن
از همراهی انسان با طبیعت، سالیان دراز میگذرد. از همان اوان تاکنون که ما با اراده و صبر، در مسیر بقا قدم نهادیم و راه بهرهبرداری از بیشمار آفریدههای جهان را فراگرفتیم، حنا همواره بهعنوان مادهای درمانگر با رنگی ماندگار، خود را نمایانده است. شاید دلیل رواج ضربالمثلی که بیاعتباری و بیآبرویی را به حنا نسبت میدهد، در طعنه به همین رنگ ماندنی آن بوده وگرنه، حنا همیشه رنگ داشته است!
پینوشتها
1.
henna
2.
lawson
3.
hennotannic acid
4.
hennoside
منابع
1.
Original and history of henna; https://silknstone.com/about-henna/
2. A
brief history of henna; https://tribune.com.pk/story/741476/a-brief-history-of-henna
3.
The chemistry of henna; https://www.compoundchem.com/2019/08/12/henna/
4.
Henna; https://pubsapp.acs.org/cen/whatstuff/84/8406henna.html